Background & Significance:
Only 30% to 40% of patients in need of a curative stem cell transplant (SCT) could find a suitable matched sibling donor. For Indian patients, the likelihood of locating a 10/10 HLA identical unrelated donor within limited donor registries is approximately 14%. However, this probability has the potential to rise to 60% if registries with over 1,000,000 registered donors are available. 1,2 Consequently, there is an increasing inclination in India to perform haploidentical transplantations utilizing the post-transplantation cyclophosphamide (PTCY) platform developed by the Johns Hopkins group. 3 The outcomes of haploidentical stem cell transplantation (haplo-SCT) for the treatment of AML were enhanced in the 1990s with the introduction of a T-cell depletion (TCD) strategy followed by a myeloablative conditioning regimen. 4,5 In the last two decades, significant progress in haplo-SCT for hematological malignancies, especially AML, includes donor selection algorithms, improved grafts, GVHD prophylaxis, and enhanced immunologic recovery, benefiting patients. 6 Here, we present our experience of haplo-identical stem cell transplants in myeloid malignancies at our centre.
Study design & Methods:
We conducted a retrospective study at our site. Patients with myeloid malignancy who underwent haplo-identical stem cell transplant between Jan 2018 - Jan 2023 were included in the study and the follow-up was done till July 2023. Haplo-identical transplants done for diagnosis other than myeloid malignancy were excluded. The objectives of the study were to assess the non-relapse mortality [NRM] rate at day +100, relapse rate, graft-versus-host disease - free relapse-free survival [GRFS] and overall survival [OS] of the study cohort. GRFS was defined as a combined outcome including mortality from any cause, recurrence of malignancy, acute GVHD of grade 3 to 4, or chronic GVHD necessitating systemic immune suppression therapy. 7
Descriptive statistics (including median, mean, and range) were used to describe the central tendency and dispersion of variables. The probability of overall survival [OS] and graft versus host disease relapse free survival [GRFS] was estimated by the method of Kaplan and Meier. Probabilities of relapse or progression of malignancy, RRM, and day-100 NRM were summarized using cumulative incidence estimates All statistical analysis were done using statistical package for social science software (SPSS 21, IBM SPSS Statistics).
Results:
We have analysed 29 patients with various myeloid malignancies who have underwent haploidentical SCT from Jan 2018 to Jan 2023. There were 28 AML and 1 MDS patients. The median age was 35 (range, 16 - 59) and there were 22 males and 7 females. Conditioning intensity was myeloablative in 19 (65.5%), reduced intensity conditioning (RIC) in 8 (27.6%) and NMA in 2 (6.9%) patients. There were 10 (34.5%) patients in complete remission 1(CR1) and 19 (65.5%) in CR2. Hematopoietic Cell Transplantation-specific Comorbidity Index [HCT-CI] score was as low 11 (37.9%), intermediate 8 (27.6%) and high 10 (34.5%) patients respectively. Median time to neutrophil engraftment was 16 days (range, 12 - 25) and platelet engraftment was 17 days (range, 11 - 32). Median CD34 stem cell dose was 6.25 x 10*6/kg (range, 3.1 - 8.09) x 10*6/kg. Grade II-IV acute GVHD over first +100 days post SCT was observed in 6 (20.7) patients, and grade III-IV acute GVHD and chronic GVHD at follow up of one year was 3 (10.3) respectively.
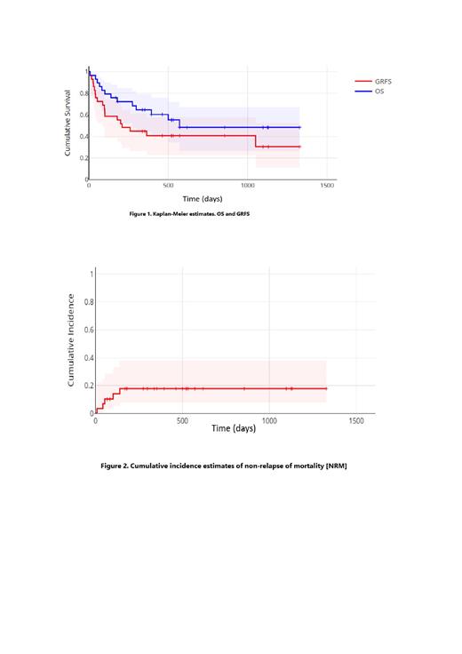
CMV reactivation by +100days was seen in 18 (62.06%) patients. Relapse was seen in 10 (34.5%) patients, out of which 2 patients are alive and 8 expired due to progressive disease. At median follow up of 13 months, OS is 60.3% (CI: 39.7% - 75.9%) and GRFS is at a median follow-up of 6 month was 51.2% (CI: 35.6% - 71%). Fig:1 NRM was 10.3% and 17.24% at +100 days and at last follow-up respectively. Fig:2
Conclusion:
In conclusion, our study demonstrates favorable outcomes in terms of NRM (non-relapse mortality) with a low rate of 10.3% at 100 days after haploidentical SCT. The results also show promising overall survival (OS) and GVHD-free, relapse-free survival (GRFS) rates, supporting the potential of haploidentical transplants as an effective treatment option for myeloid malignancies. Further long-term follow-up and research are needed to validate and optimize these findings.
Disclosures
No relevant conflicts of interest to declare.

This feature is available to Subscribers Only
Sign In or Create an Account Close Modal